Hinweis:
Diese Funktionalität wird derzeit nur in Map Viewer Classic (zuvor als Map Viewer bezeichnet) unterstützt. Sie wird in einer zukünftigen Version des neuen Map Viewer verfügbar sein.
Das Werkzeug Punkte aggregieren verwendet Flächen-Features, um eine Gruppe von Punkt-Features zusammenzufassen. Die Grenzen des Flächen-Features dienen zur Erfassung der Punkte innerhalb jeder Fläche und verwenden diese zum Berechnen der Statistik. Der resultierende Layer zeigt die Anzahl der Punkte in jeder Fläche an.
Durchführen von Analysen mit GeoAnalytics Tools
Mit GeoAnalytics Tools durchgeführte Analysen werden mittels verteilter Verarbeitung auf mehreren ArcGIS GeoAnalytics Server-Computern und Kernen durchgeführt. GeoAnalytics Tools und Standard-Feature-Analysewerkzeuge in ArcGIS Enterprise verfügen über verschiedene Parameter und Funktionen. Weitere Informationen zu diesen Unterschieden finden Sie unter Unterschiede zwischen Feature-Analysewerkzeugen.
Workflow-Diagramm

Beispiele
Tornados zählen zu den gewaltigsten Stürmen, die in den USA auftreten. Sie möchten die Folgen von Tornados in jedem US-Bundesstaat und -Landkreis ermitteln, z. B. Todesfälle, Verletzungen, Sachbeschädigungen und finanzielle Verluste. Sie können auf Tornadopositionen der USA zugreifen, benötigen jedoch eine bessere Methode zum Visualisieren Ihrer Daten innerhalb der gewünschten Grenzen. Sie können Ihre Tornadodaten in Bundesstaat- und Landkreisgrenzen aggregieren und nach Bevölkerung normalisieren, um die Gebiete zu suchen, die am meisten von Tornados betroffen sind.
Tipp:
Wenn Ihr Portal für die Verwendung von Inhalt des ArcGIS Living Atlas konfiguriert ist, können Sie die Bundesstaat- und Landkreis-Layer des ArcGIS Living Atlas verwenden, die Bevölkerungsdaten enthalten.
Verwendungshinweise
Mit dem Werkzeug Punkte aggregieren werden Punkt-Features innerhalb verschiedener Grenzen erfasst und zusammengefasst. Die Eingabeparameter müssen zu aggregierende Punkte und Aggregationsflächen enthalten.
Sie können den für die Analyse zu verwendenden Flächen-Layer bereitstellen oder Abschnitte mit festgelegter Größe und festgelegtem Shape (Hexagon oder Quadrat) erstellen, in die aggregiert werden soll. Anhand der Abschnittsgröße wird die Größe der Abschnitte festgelegt. Beim Aggregieren in Hexagone entspricht die Größe der Höhe jedes Hexagons und die Breite des resultierenden Hexagons der doppelten Höhe dividiert durch die Quadratwurzel von 3. Beim Aggregieren in Quadrate entspricht die Abschnittsgröße der Höhe des Quadrats und damit der Breite.

Es werden nur Flächen mit Punkten zurückgegeben, und resultierende Flächen werden vollständig aus dem Ergebnis-Layer entfernt.

Die grundlegendsten Aggregationen berechnen eine Anzahl von Punkten innerhalb jeder Grenze. Statistiken (Anzahl, Summe, Minimum, Maximum, Bereich, Mittelwert, Standardabweichung und Varianz) können auch für numerische Felder berechnet werden und Statistiken (Anzahl, beliebig) können für Zeichenfolgenfelder berechnet werden. Die Statistik wird für jede Fläche separat berechnet.
Hinweis:
Wenn Anzahl auf ein Feld angewendet wird, wird eine Anzahl der im Feld vorhandenen Nicht-Nullwerte zurückgegeben. Wenn beliebig auf ein Zeichenfolgenfeld angewendet wird, wird eine einzelne im Feld vorhandene Zeichenfolge zurückgegeben.
Mit Punkte aggregieren können Sie optional Analysen mithilfe von Zeitintervallen durchführen. Jeder Zeitschritt wird unabhängig von den Features außerhalb des Zeitschrittes analysiert. Für die Verwendung von Zeitintervallen müssen Zeiteigenschaften für Ihre Eingabedaten aktiviert sein und ein Zeitintervall darstellen. Bei Anwendung von Zeitschritten sind Ausgabe-Features Zeitintervalle, die durch die Felder START_DATETIME und END_DATETIME dargestellt werden.
Weitere Informationen zu Zeitschritten
Punkte aggregieren erfordert, dass sich Ihr Flächen-Layer in einem projizierten Koordinatensystem befindet. Wenn Ihre Daten sich nicht in einem projizierten Koordinatensystem befinden und Sie kein verarbeitendes projiziertes Koordinatensystem einrichten, wird eine Projektion anhand der Ausdehnung der analysierten Daten ausgewählt.
Wenn die Option Aktuelle Kartenausdehnung verwenden aktiviert ist, werden nur die Features analysiert, die in der aktuellen Kartenausdehnung sichtbar sind. Wenn diese Option nicht aktiviert ist, werden alle Beobachterpunkte im Eingabe-Layer analysiert, auch diejenigen, die sich außerhalb der aktuellen Kartenausdehnung befinden.
Einschränkungen
Eingaben müssen einen Punkt-Layer enthalten. Bei der zu aggregierenden Fläche muss es sich um einen bereitgestellten Flächen-Layer oder um Abschnitte handeln. Linien und Flächen können mit dem Werkzeug Punkte aggregieren nicht in Flächen aggregiert werden.
Funktionsweise des Werkzeugs Punkte aggregieren
Gleichungen
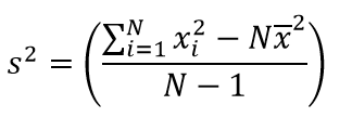
Varianz wird mit der folgenden Gleichung berechnet:

Die Standardabweichung wird als Quadratwurzel der Varianz berechnet.
Berechnungen
Punkt-Layer werden nur anhand der Punkt-Features zusammengefasst, die die Eingabegrenze schneiden. Die Ergebnisse werden blau angezeigt und können anhand von abgestuften Symbolen in den berechneten Statistiken symbolisiert werden.
Anhand der folgenden Abbildung und Tabelle werden die statistischen Berechnungen eines Punkt-Layers innerhalb von Bezirksgrenzen erläutert. Das Feld Population wurde verwendet, um die Statistiken (Anzahl, Summe, Minimum, Maximum, Bereich, Mittelwert, Standardabweichung und Varianz) für den Layer zu berechnen. Mit dem Feld Type wurde die Statistik (Anzahl und Beliebige) für den Layer berechnet.

| Numerische Statistik | Ergebnisbezirk A |
|---|---|
Anzahl | Anzahl von: |
Summe | |
Minimum | Minimum: |
Maximum | Maximum: |
Durchschnitt | |
Varianz | ![]() |
Standardabweichung | ![]() |
| Zeichenfolgenstatistik | Ergebnisbezirk A |
|---|---|
Anzahl | |
Beliebig | = Weiterführende Schule |
Mit der Zählstatistik (für Zeichenfolgen und numerische Felder) wird die Anzahl der Nicht-NULL-Werte ermittelt. Die Anzahl der folgenden Werte ist gleich 5: [0, 1, 10, 5, null, 6] = 5. Die Anzahl dieser Gruppe von Werten ist gleich 3: [Primary, Primary, Secondary, null] = 3.
Ein reales Szenario, in dem diese Analysen verwendet werden können, ist die Ermittlung der Gesamtzahl von Schülern in einem Schulbezirk. Jeder Punkt stellt eine Schule dar. Über das Feld Type wird der Schultyp (Grund-, Mittel- oder weiterführende Schule) angegeben und über ein Feld für die Schülerschaft die Anzahl der in jeder Schule angemeldeten Schüler. Die Berechnungen und Ergebnisse sind in der Tabelle oben für den Bezirk A angegeben. Die Ergebnisse zeigen, dass der Bezirk A 2.568 Schüler umfasst. Wenn das Werkzeug "Punkte aggregieren" ausgeführt wird, werden auch die Ergebnisse für den Bezirk B angegeben.
Beispiel für ArcGIS API for Python
Das Werkzeug "Punkte aggregieren" ist über ArcGIS API for Python verfügbar.
In diesem Beispiel wird ein Dataset mit Straftaten zu einem Zählbezirk-Layer aggregiert. Dabei wird für jedes Polygon die Anzahl der Beamten vor Ort berechnet.# Import the required ArcGIS API for Python modules
import arcgis
from arcgis.gis import GIS
from arcgis.geoanalytics import summarize_data
# Connect to your ArcGIS Enterprise portal and confirm that GeoAnalytics is supported
portal = GIS("https://myportal.domain.com/portal", "gis_publisher", "my_password", verify_cert=False)
if not portal.geoanalytics.is_supported():
print("Quitting, GeoAnalytics is not supported")
exit(1)
# Find the big data file share dataset you'll use for analysis
search_result = portal.content.search("", "Big Data File Share")
# Look through the search results for a big data file share with the matching name
bdfs_search = next(x for x in search_result if x.title == "bigDataFileShares_myBigDataFileShare")
# Look through the big data file share for a dataset called Crimes
crime_data = next(x for x in bdfs_search.layers if x.properties.name == "Crimes")
# Find a feature layer named Census_Tracts in your ArcGIS Enterprise portal
census_tract_search_result = portal.content.search("Census_Tracts", "Feature Layer")
census_tract_layer = census_tract_search_result[0].layers[0]
# Set the environment settings for this tool to run
arcgis.env.verbose = True
# Run the Aggregate Points tool
crime_data_aggregate = summarize_data.aggregate_points(point_layer = crime_data,
polygon_layer = census_tract_layer,
summary_fields = [{'statisticType' : 'Sum',
'onStatisticField' : 'OfficersOnSite'}],
output_name = 'Crime_Data_Aggregated')
# Visualize the tool results if you are running Python in a Jupyter Notebook
processed_map = portal.map('MyCity, State', 10)
processed_map.add_layer(crime_data_aggregate)
processed_map
Ähnliche Werkzeuge
Verwenden Sie "Punkte aggregieren", um Punkte in Flächen zusammenzufassen. Andere Werkzeuge können bei ähnlichen, aber leicht abweichenden Problemstellungen hilfreich sein.
Map Viewer Classic-Analysewerkzeuge
Verwenden Sie zum Zusammenfassen von Punkten, Linien oder Flächen das GeoAnalytics Tools Zusammenfassen (innerhalb).
Verwenden Sie zum Zusammenfassen von Punkten, Linien oder Flächen, die verschiedene Raumbezüge verwenden, das GeoAnalytics Tools Features verbinden.
Wenn Sie Linien oder Flächen zusammenfassen möchten, verwenden Sie das Standardwerkzeug Zusammenfassen (innerhalb).
Wenn Sie Punkte mit den Standardanalysewerkzeugen in Flächen aggregieren möchten, finden Sie weitere Informationen unter Punkte aggregieren.
ArcGIS Desktop-Analysewerkzeuge
Das GeoAnalytics Tools Punkte aggregieren ist in ArcGIS Pro verfügbar.
"Punkte aggregieren" führt die Funktionen der Werkzeuge Räumliche Verbindung und Summenstatistik aus.

