Hinweis:
Diese Funktionalität wird derzeit nur in Map Viewer Classic (zuvor als Map Viewer bezeichnet) unterstützt. Sie wird in einer zukünftigen Version des neuen Map Viewer verfügbar sein.
Mit dem Werkzeug "Zusammenfassen (innerhalb)" werden Statistiken in Flächen berechnet, in denen ein Eingabe-Layer einen Grenz-Layer überlappt.
Workflow-Diagramm

Beispiele
Eine Stadt hat einen Rückstand an Instandhaltungsprojekten zu bewältigen, und möchte die Verwaltungsbezirke in Projekte einbeziehen, die für die Wartung der Straßenbeleuchtung und Radwege durchgeführt werden. Das Werkzeug "Zusammenfassen (innerhalb)" wird verwendet, um die Anzahl der Straßenlampen und die Kilometerzahl der Radwege in jedem Bezirk zu ermitteln, sodass die Projekte effektiv nach Prioritäten eingeteilt werden können.
Ein Kabelanbieter startet ein Pilotprogramm, bei dem Studenten mit niedrigem Einkommen in einer Gemeinde ein preiswerter Internetzugang angeboten wird. Das Werkzeug "Zusammenfassen (innerhalb)" wird verwendet, um die Anzahl der Familien mit geringem Einkommen in jedem Hochschulbezirk zu ermitteln, sodass der Kabelanbieter einen entsprechenden Bezirk für sein Pilotprogramm auswählen kann.
In einem Unternehmen für Immobilienentwicklung soll der ein Projekt für die Mischnutzung von Gebäuden in einem Stadtzentrum erstellt werden. Im Unternehmen kann "Zusammenfassen (innerhalb)" verwendet werden, um die qualifizierenden Flächen innerhalb der Stadtgrenze zur Ermittlung der Gesamtfläche potenzieller Entwicklungszonen zusammenzufassen.
Verwendungshinweise
Die Eingaben für "Zusammenfassen (innerhalb)" enthalten einen Flächen-Layer, der als Grenze für die Zusammenfassung von Features und einen zusammenzufassenden Punkt-, Linien- oder Flächen-Layer dient.
Sie können den für die Analyse zu verwendenden Flächen-Layer bereitstellen oder Abschnitte mit festgelegter Größe und festgelegtem Shape (Hexagon oder Quadrat) erstellen, in die aggregiert werden soll. Anhand der Abschnittsgröße wird die Größe der Abschnitte festgelegt. Beim Aggregieren in Hexagone entspricht die Größe der Höhe jedes Hexagons und die Breite des resultierenden Hexagons der doppelten Höhe dividiert durch die Quadratwurzel von 3. Beim Aggregieren in Quadrate entspricht die Abschnittsgröße der Höhe des Quadrats und damit der Breite.

Tipp:
Sie können dem Werkzeugbereich einen Layer hinzufügen, der nicht in Map Viewer Classic enthalten ist, indem Sie im Dropdown-Menü die Option Analyse-Layer auswählen auswählen.
Je nach Feature-Typ, der im Layer zusammengefasst werden soll, wird das Kontrollkästchen Anzahl der Punkte, Länge der Linien oder Flächensumme angezeigt. Das Kontrollkästchen ist standardmäßig aktiviert und kann nur deaktiviert werden, wenn Statistiken berechnet werden. Das Standardentfernungsmaß hängt von den Einheiten in Ihrem Profil ab.
| Berechnung | Eingabe-Features | Standard | Optionen |
|---|---|---|---|
Anzahl der Punkte | Punkte | Keine | Keine |
Länge der Linien | Linien | Meilen (US-Standardeinstellung) oder Kilometer (metrische Einstellung) |
|
Flächensumme | Areas | Quadratmeilen (US-Standardeinstellung) oder Quadratkilometer (metrische Einstellung) |
|
Für numerische Felder des zusammenfassenden Layers stehen fünf Optionen zum Berechnen von Statistiken zur Verfügung: Summe, Minimum, Maximum, Durchschnitt und Standardabweichung. Jedes Mal, wenn ein Wert für Feld und Statistik eingegeben wird, wird dem Werkzeugbereich eine neue Zeile hinzugefügt, sodass mehrere Statistiken gleichzeitig berechnet werden können. Die zusammengefassten Daten werden in der Tabelle oder den Pop-ups des Ergebnis-Layers angezeigt.
Optional können Sie ein Gruppierungsfeld auswählen, sodass Statistiken für jeden einzelnen Attributwert separat berechnet werden. Wenn ein Gruppenfeld ausgewählt ist, enthält das Pop-up für jedes Feature im Ausgabe-Layer Diagramme, die jede Gesamtzahl und Statistik nach Feldwert enthalten. Außerdem wird eine Summentabelle erstellt, in der jedes Feature und jede Statistik nach Gruppenfeldwert aufgelistet ist.
Die Kontrollkästchen Minderheit, Mehrheit hinzufügen und Prozentsätze hinzufügen werden aktiviert, wenn ein Gruppenfeld eingegeben wird. Die Werte für Minderheit und Mehrheit sind jeweils der geringste bzw. dominanteste Wert aus dem Gruppierungsfeld, wobei die Dominanz mittels der Anzahl der Punkte, der Gesamtlänge oder der Gesamtfläche jedes Wertes bestimmt wird. Wenn die Option Minderheit, Mehrheit hinzufügen aktiviert ist, werden dem Ergebnis-Layer zwei neue Felder hinzugefügt. In den Feldern werden die Werte aus dem Feld "Gruppieren nach" aufgelistet, die die Minderheit und Mehrheit für jedes Ergebnis-Feature darstellen. Wenn Prozentsätze hinzufügen aktiviert ist, wird der Ergebnistabelle ein neues Feld hinzugefügt, in der der Prozentsatz der Punktanzahl, der Gesamtlänge oder der Gesamtfläche innerhalb der einzelnen Features angegeben ist, die zu den einzelnen Werten des Gruppierungsfeldes gehören. Wenn ebenfalls Minderheit, Mehrheit hinzufügen aktiviert ist, werden dem Ergebnis-Layer zwei weitere Felder hinzugefügt, in denen der Prozentsatz der Punktanzahl, der Gesamtlänge oder der Gesamtfläche aufgelistet ist, die zu den Minderheits- oder Mehrheitswerten für jedes Feature gehören.
Wenn die Option Aktuelle Kartenausdehnung verwenden aktiviert ist, werden nur die Features im Eingabe-Layer und dem zusammenfassenden Layer analysiert, die in der aktuellen Kartenausdehnung sichtbar sind. Wenn diese Option deaktiviert ist, werden auch dann alle Features im Eingabe- und im zusammenfassenden Layer analysiert, wenn sie sich außerhalb der aktuellen Ausdehnung befinden.
Einschränkungen
- Die Grenzeingabe muss in Form von Flächen-Features erfolgen.
- Linien und Flächen werden anhand von Proportionen zusammengefasst; daher ist es optimal, absolute Daten (z. B. Bevölkerung) statt relative Daten (z. B. Durchschnittseinkommen) zusammenzufassen, wenn Linien oder Flächen zusammengefasst werden.
- Es gibt eine Option zum Entfernen von Grenzen, die keinen Punkte, Linien oder Flächen überlappen.
Funktionsweise des Werkzeugs "Zusammenfassen (innerhalb)"
In den folgenden Abschnitten wird die Funktionsweise des Werkzeugs "Zusammenfassen (innerhalb)" beschrieben.
Erstellen von Abschnitten
Quadratische und hexagonale Abschnitte können für Aggregationsflächen erstellt werden anstatt durch das Zusammenfassen von Features zu einem Eingabe-Flächen-Layer. Die Abschnitte werden in einem benutzerdefinierten, flächengetreuen projizierten Koordinatensystem erstellt. Dabei werden die angegebenen Größendimensionen verwendet, um sicherzustellen, dass die Größen übereinstimmen und dem Interessenbereich entsprechen. Eine geeignete flächentreue Projektion sowie entsprechende Parameter werden basierend auf der geographischen Ausdehnung der Eingabe-Layer ausgewählt. Die erstellten Abschnitte werden zurück in das Koordinatensystem der Eingabedaten projiziert, bevor sie in der Analyse verwendet werden.
Nach Abschluss der Analyse wird das Ergebnis in der Web Mercator-Projektion (Standard) oder in der Projektion Ihrer benutzerdefinierten Grundkarte angezeigt. In einer Web Mercator-Projektion werden die Ergebnisse ggf. verzerrt wiedergegeben, insbesondere bei großen Abschnitten oder bei Abschnitten nahe der Polarregionen. Diese Verzerrungen entstehen lediglich durch die Anzeige und sind keine Anzeichen für eine ungenaue Analyse.
Gleichungen
Durchschnitt und Standardabweichung werden anhand des gewichteten Mittelwertes und der gewichteten Standardabweichung für Linien- und Flächen-Features berechnet. Es werden keine Statistiken für Punkt-Features gewichtet. Die folgende Tabelle zeigt die Gleichungen zum Berechnen der Standardabweichung, des gewichteten Mittelwertes und der gewichteten Standardabweichung:
| Statistik | Berechnung | Variablen | Features |
|---|---|---|---|
Standardabweichung | ![]() | Dabei gilt:
| Punkte |
Gewichteter Mittelwert | ![]() | Dabei gilt:
| Linien und Flächen |
Gewichtete Standardabweichung | ![]() | Dabei gilt:
| Linien und Flächen |
Hinweis:
NULL-Werte sind von allen statistischen Berechnungen ausgeschlossen. Beispiel: Der Mittelwert von 10, 5 und einem NULL-Wert ist 7,5 ((10+5)/2).
Punkte
Punkt-Layer werden nur anhand der Punkt-Features innerhalb der Grenze zusammengefasst. Die Anzahl der Punkte innerhalb der einzelnen Eingabegrenzen ist nur in den Ergebnissen enthalten, wenn das Kontrollkästchen Anzahl der Punkte aktiviert wurde. Die Ergebnisse werden mit abgestuften Symbolen angezeigt.
Anhand der Abbildung und Tabelle unten werden die statistischen Berechnungen eines Punkt-Layers innerhalb einer hypothetischen Grenze gezeigt. Das Feld "Population" wurde verwendet, um die Statistiken (Summe, Minimum, Maximum, Durchschnitt und Standardabweichung) für den Layer zu berechnen.

| Statistik | Ergebnisbezirk A |
|---|---|
Summe | |
Minimum | Minimum: |
Maximum | Maximum: |
Durchschnitt | |
Standardabweichung | ![]() |
Ein Szenario aus der Praxis, in dem Sie diese Analysen verwenden können, ist die Ermittlung der Gesamtzahl von Schülern in einem Schulbezirk. Jeder Punkt stellt eine Schule dar. Das Feld Type enthält den Schultyp (Grund-, Mittel- oder weiterführende Schule) und über ein Feld für die Schülerschaft die Anzahl der in jeder Schule angemeldeten Schüler. Die Berechnungen und Ergebnisse sind in der Tabelle oben für den Bezirk A angegeben. Die Ergebnisse zeigen, dass der Bezirk A 2.568 Schüler umfasst. Wenn das Werkzeug "Zusammenfassen (innerhalb)" ausgeführt wird, werden auch die Ergebnisse für den Bezirk B angegeben.
Linien
Linien-Layer werden nur anhand der Proportionen der Linien-Features zusammengefasst, die sich innerhalb der Eingabegrenze befinden. Verwenden Sie beim Zusammenfassen von Linien Felder mit Anzahl oder Mengen anstelle von Raten oder Verhältnissen, sodass proportionale Berechnungen in Ihrer Analyse logisch sinnvoll sind. Die Ergebnisse enthalten die Anzahl der Linien innerhalb der einzelnen Eingabegrenzen und werden mit abgestuften Symbolen angezeigt.
Anhand der Abbildung und Tabelle unten werden die statistischen Berechnungen eines Linien-Layers innerhalb einer hypothetischen Grenze gezeigt. Das Feld Volume wurde verwendet, um die Statistiken (Summe, Minimum, Maximum, Durchschnitt und Standardabweichung) für den Layer zu berechnen. Die Statistiken werden berechnet, indem nur die Proportion der Linien verwendet wird, die innerhalb der Grenze liegen.

| Statistik | Ergebnis |
|---|---|
Summe | |
Minimum | Minimum: |
Maximum | Maximum: |
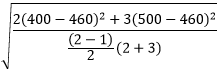
Durchschnitt | ![]() |
Standardabweichung | ![]() |
Ein reales Szenario, in dem Sie diese Analysen verwenden können, ist die Ermittlung des Gesamtvolumens an Wasser in Flüssen innerhalb der Grenzen eines staatlichen Parks. Jede Linie stellt einen Fluss dar, der sich teilweise innerhalb des Parks befindet. Die Ergebnisse zeigen, dass 5 Flussmeilen innerhalb des Parks liegen und das Gesamtvolumen 900 Einheiten beträgt.
Areas
Flächen-Layer werden nur anhand der Proportionen der Flächen-Features zusammengefasst, die sich innerhalb der Eingabegrenze befinden. Verwenden Sie beim Zusammenfassen von Flächen Felder mit Anzahl oder Mengen anstelle von Raten oder Verhältnissen, sodass proportionale Berechnungen in Ihrer Analyse logisch sinnvoll sind. Die Ergebnisse enthalten die Anzahl der Flächen innerhalb der einzelnen Eingabegrenzen und werden mit abgestuften Farben angezeigt.
Anhand der Abbildung und Tabelle unten werden die statistischen Berechnungen eines Flächen-Layers innerhalb einer hypothetischen Grenze gezeigt. Die Bevölkerungszahlen wurden verwendet, um die Statistiken (Summe, Minimum, Maximum, Durchschnitt und Standardabweichung) für den Layer zu berechnen. Die Statistiken werden berechnet, indem nur die Proportion der Flächen verwendet wird, die innerhalb der Grenze liegen.

| Statistik | Ergebnis |
|---|---|
Summe | |
Minimum | Minimum: |
Maximum | Maximum: |
Durchschnitt | ![]() |
Standardabweichung | ![]() |
Ein Szenario aus der Praxis, in dem Sie diese Analysen verwenden können, ist die Ermittlung der Bevölkerung in einem Stadtviertel. Die blaue Umrisslinie stellt die Grenze des Viertels und die kleineren Flächen stellen die Zählblöcke dar. Die Ergebnisse zeigen, dass 10.841 Menschen in dem Viertel leben und dass die Bevölkerungszahl pro Zählblock ca. 2.666 Menschen beträgt.
Ähnliche Werkzeuge
Verwenden Sie Zusammenfassen (innerhalb), um Statistiken für Features zu berechnen, die einen Grenz-Layer überlappen. Andere Werkzeuge können bei ähnlichen, aber leicht abweichenden Problemstellungen hilfreich sein.
Map Viewer Classic-Analysewerkzeuge
Wenn Sie Punkte zusammenfassen und nur Grenzen mit einer Anzahl von größer als Null beibehalten möchten, verwenden Sie das Werkzeug Punkte aggregieren.
Wenn Sie Features innerhalb einer Entfernung von Ihren Eingabe-Features zusammenfassen, verwenden Sie das Werkzeug Zusammenfassen (in der Nähe).
ArcGIS Pro-Analysewerkzeuge
"Zusammenfassen (innerhalb)" führt die Funktionen der Geoverarbeitungswerkzeuge Räumliche Verbindung und Summenstatistik aus.
Zusammenfassen (innerhalb) ist auch in ArcGIS Pro verfügbar. Um das Werkzeug über ArcGIS Pro auszuführen, muss auf dem aktiven Portal Ihres Projekts ArcGIS Enterprise 10.5 oder höher ausgeführt werden. Sie müssen sich außerdem mit einem Konto beim Portal anmelden, dem Berechtigungen zum Durchführen von Standard-Feature-Analysen im Portal zugewiesen sind.







